티스토리 뷰
안녕하세요?
회사에서 우리 부서는 부서원들끼리 미리 스케쥴을 짜는데, 추석 때 일을 해야 하기에 미리 고향에 내려 가려고 팀원들에게 양해를 구하고 9월 둘째 셋째주 휴무를 맞추었다.
그런데 팀장이 본사에서 추석 때 교육 일정을 잡으면 안된다는 지침이 내려 왔단다.
팀원 중 한명이 안전교육을 안 받았기에 9월 마지막주에 맞춰서 일정을 잡았는데 말이다.
3주전부터 기획했던 일이 무산되는 순간이었다. 다시 휴무를 짜야될 입장이다.
아니 이럴바에는 위에서 휴무 스케줄을 짜줄 것이지 팀내에서 미리 일정을 조율하라는 것은 너무하단 생각이다.
처음엔 화딱지가 나서 될대로 되라는 식으로 생각했는데, 이성을 차리고 다른 팀에 구원 요청을 할 생각이고, 그것도 안 될시에는 조직장에게 상담을 신청할 예정이다.
제발 일처리가 잘 돼서 9월 일정대로 흘러갔으면 하는 바람이다.
오늘은 내가 신혼 때 살았던 상도동에 아파트 분양이 있다고 해서 포스팅을 해 보고자 한다.
상도 푸르지오 클라베뉴 분양가 및 분양정보에 대해서 알아보도록 하자.

대우건설은 서울시 동작구 상도동 산65-74번지 일원에 ‘상도 푸르지오 클라베뉴’를 분양합니다.
단지는 지하 5층~지상 18층, 10개 동, 전용면적 59~84㎡ 총 771가구 규모로 공급된다.
일반분양 물량을 전용면적별로 살펴보면 ▷59㎡A 226가구 ▷59㎡B 35가구 ▷74㎡A 152가구 ▷84㎡A 188가구 ▷84㎡B 152가구 ▷84㎡C 18가구 등 다양한 주택형으로 구성된다.

입주는 2024년 3월 예정으로 본 아파트는 공정률 60% 이후의 골조공사 완료 시에 분양하는 후분양 아파트입니다.
@ 상도 푸르지오 클라베뉴 입지환경 및 프리미엄 정보

1. 쾌속 교통환경
반경 700m 내에 지하철 7호선 장승배기역이 위치해 강남구청역까지 환승 없이 20분대 이동이 가능하며, 서울 전역을 편리하게 이동할 수 있다. 인근에 위치한 상도터널, 한강대교와 올림픽대로 진입이 용이하고 강남순환도시고속도로, 경부고속도로 등이 가까워 차량을 이용한 이동도 편리하다.
2. 우수한 교육환경
단지 인근에 상도초와 신상도초 등 초등학교 2개가 있어 교육여건이 좋은 점은 장점으로 꼽힌다. 단지 방향으로 공공보행통로가 계획돼 있어, 학생들이 등교 시 이 통로를 통해 통학할 예정이다.
더불어 국사봉중, 당곡중고, 영등포고 등이 인접해 있고, 노량진 학원가가 가까워 우수한 교육환경을 갖고 있다.
3. 쾌적한 주거환경
상도근린공원, 용마산공원, 보라매공원 등이 가깝고 상도근린공원에 유아숲 체험장, 국사봉체육관 등이 마련돼 있다.
4. 편리한 생활인프라
롯데백화점 관악점, 용산 이마트, cgv 등이 인접해 있고,
장승배기역 인근 종합행정타운도 조성된다. 동작구청에 따르면 장승배기 종합행정타운은 지하 3층~지상 10층 규모로 구청 및 보건소, 구의회 등 공공기관을 비롯해 약 112개의 상가가 입점할 계획이다.
지난 2021년 착공에 들어갔으며 2024년 초 완공을 목표로 공사가 진행 중이다.
5. 뛰어난 미래가치
현재 동작구 상도동 일대는 정비사업이 활발하게 추진되고 있다. 동작구청에 따르면 단지 인근에 상도 14구역, 15구역 재개발 사업(신속통합기획 재개발 후보지)이 예정돼 있다.
6. 특화 설계 및 차별화된 커뮤니티
티하우스에서 잔디밭을 보며 휴식을 즐길 수 있는 ‘그린 파티오’, 아이들의 자연 학습장으로 다양한 식물과 수목이 식재되어 있는 ‘생태연못’, 안전하게 뛰어놀 수 있는 테마 놀이터와 물놀이 공간으로 꾸며진 ‘어린이 놀이터’ 등이 조성된다.
커뮤니티 시설인 그리너리 라운지에는 피트니스클럽, GX클럽, 골프클럽, 시니어클럽, 독서실, 연회장 등이 조성되며, 독서와 휴식을 즐길 수 있는 그리너리 스튜디오도 들어선다.
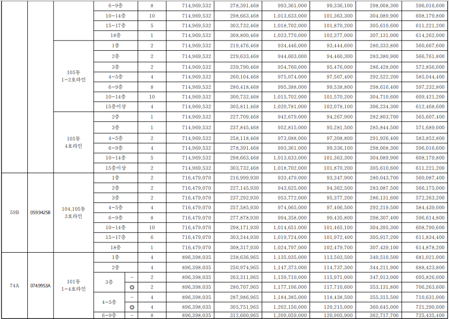
@ 상도 푸르지오 클라베뉴 분양가

- 주택형별 계약면적 및 공급세대수 안내

- 상도푸르지오클라베뉴 분양가

계약금 10%, 중도금 30%, 잔금 60%로 구성돼 있다.

본 주택의 중도금 대출시 이자 후불제 조건으로 총 분양가격의 30% 범위 내에서 융자 알선을 시행할 예정이며, 대출관련 세부내용은 별도 공지 및 안내 예정입니다.
중도금 대출 이자 납부는 대출개시일부터 대납종료일(입주지정기간 직전 대출이자납부일을 의미하며 이하 같음)까지 발생한 대출이자에 대해서는 사업주체(또는 위탁자, 시공사)가 대납합니다.

본 아파트는 공정률 60% 이후의 골조공사 완료 시에 분양하는 후분양 아파트입니다. 아파트 공급금액에는 발코니 확장 등의 추가선택품목 비용이 포함되지 아니한 가격이고, 현장 공정상 이미 공사를 진행하였으므로 사업주체가 무상으로 제공하는 품목이며, 개별 선택, 제외할 수 없습니다.

- 발코니 확장 등의 무상제공 품목

@ 상도푸르지오클라베뉴 청약 일정 안내
9월 1일에 모델하우스 오픈을 시작으로 9월 4일 특별공급, 5일 1순위 청약, 6일 2순위 청약을 받을 예정입니다.
9월 12일에 당첨자를 발표하고, 9월 25일부터 27일까지 3일간 정당계약의 분양일정입니다.

견본주택의 위치는 서초구 양재동 226번지 오토갤러리 맞은편에 위치하고 있습니다.
분양문의는 02-575-0771 번으로 문의하시면 되겠습니다.
이상 교통, 교육, 편의, 자연 등 각종 생활 인프라를 고루 갖춰 주거 편의성이 우수하고, 주변의 다양한 개발 사업으로 높은 미래가치를 기대할 수 있는 단지 상도 푸르지오 클라베뉴 분양가 및 분양정보에 대해서 포스팅 해 보았습니다.
'버킷리스트 > 부동산 공부' 카테고리의 다른 글
| 이편한세상 강동 프레스티지원 분양가 분양정보 (0) | 2023.10.13 |
|---|---|
| 원주 동문디이스트 평면도 입주자모집공고 (0) | 2023.06.13 |
| 상무센트럴자이 분양가 분양정보 (0) | 2023.05.28 |
| 창원 롯데캐슬 포레스트 분양가 분양정보 (0) | 2023.01.01 |
| 주택임대사업자 부기등기 절차 방법 (0) | 2022.11.25 |
- 페이스북
- 주택임대사업자
- 아파트투유
- 르노삼성
- 복면가왕
- 김포한강신도시
- 다산신도시
- 주택청약
- 현대자동차
- 민원24
- 동탄2신도시
- 개봉예정영화
- 아파트투유 청약
- 위택스
- 원주기업도시
- 울산송정
- 빕스
- 울산송정지구 분양
- 아파트투유 청약경쟁률
- 신한은행
- 르노삼성자동차
- 기아자동차
- 신한은행 인터넷뱅킹
- 신길뉴타운
- 용인수지파크푸르지오
- 울산송정지구
- #자기계발
- 한강공원
- 태그를 입력해 주세요.
- 쉐보레
| 일 | 월 | 화 | 수 | 목 | 금 | 토 |
|---|---|---|---|---|---|---|
| 1 | 2 | 3 | 4 | 5 | 6 | 7 |
| 8 | 9 | 10 | 11 | 12 | 13 | 14 |
| 15 | 16 | 17 | 18 | 19 | 20 | 21 |
| 22 | 23 | 24 | 25 | 26 | 27 | 28 |
| 29 | 30 | 31 |
