티스토리 뷰
안녕하세요?
새벽에 큰 아이가 열이 나서 잠을 푹자지 못했는데요. 출근 준비를 하고 있는데, 와이프가 분주히 큰 애를 케어하고 있더라고요. 밥 먹고, 화장실 갔다오고 옷까지 입었는데, 해열제를 두번 먹여도 열이 떨어지지 않아서 출근을 포기하게 됐어요.
회사에 전화해서 긴급하게 연차신청한다고 결재받고, 가족 모두가 청화병원 소아과로 향했죠.
9시가 진료시작 시간이어서 8시 35분에 도착했는데 아직 접수는 안 받고 있더라고요. 와이프가 토욜일은 보통 1시간은 기본으로 기다려야한다고 해서 일찍 온게 잘 한 것 같더군요.
아무튼 요즘 열나면 응급실이나 대형병원은 가지를 못하는데, 발빠르게 대처를 잘 해서 아이가 더 아프지 않게 한 것 같아요. 긴급연차 잘 써서 와이프한테 칭찬받았어요.ㅋㅋ
오늘은 로또청약의 1순위인 과천지식정보타운 과천 르센토 데시앙 분양가 및 분양정보에 대해서 알아보도록 할게요.

태영건설, 대우건설, 금호산업 3개 건설사가 손을 잡고 경기도 과천시 과천지식정보타운에서 3개블록에서 동시분양을 하는데요.
과천지식정보타운 공공주택지구 S5BL에 태영건설이 시공하는 과천르센토데시앙에 대해서 알아보아요.

과천르센토데시앙은 아파트 지하 2층~지상 28층, 6개동, 총 584세대 및 부대복리시설(기관추천 특별공급 32세대, 다자녀가구 특별공급 32세대, 신혼부부 특별공급 66세대, 노부모부양 특별공급 10세대, 생애최초 주택구입자 특별공급 50세대 포함)로 조성되는데요.
타입별 세대 수는 △84㎡ A 188세대, △84㎡ B 146세대, △99㎡ A 98세대, △99㎡ B 97세대, △107㎡ A 55세대로 구성돼 있습니다.
입주시기는 2023년 4월 예정입니다.

- 과천 르센토 데시앙 입지환경 및 프리미엄 정보
1. 쾌속 교통환경
과천대로, 제2경인연결고속도로, 과천봉담고속화도로 등 수도권 광역 교통망이 구축돼 있고요. 지하철 4호선 과천지식정보타운역이 예정돼 있으며, GTX-C 과천역이 개설계획이 잡혀 있어 향후 교통망은 더욱 좋아질 예정입니다.
2. 우수한 교육환경
바로 인근에 초등학교와 유치원 예정 부지가 위치해 있으며, 이 외에도 과천외고, 과천고, 정보과학도서관 등이 가까워 우수한 교육환경을 자랑합니다.
3. 쾌적한 주거환경
바로 앞 대규모 근린공원이 조성될 예정이며, 문원체육공원, 관문체육공원 등이 위치해 있어 공원이 많이 있는 과천시의 문화에 녹아들어갈 것입니다.
더불어 관악산, 청계산 등 푸른 녹음이 공기를 맑게 해줄 것이며 프리미엄 에코 힐링단지로 손색이 없을 것입니다.
4. 우수한 생활인프라
쇼핑∙문화∙교통 등 과천 원도심의 풍부한 생활 인프라를 공유할 수 있는데요.
중심상업지구와 이마트, 롯데백화점 등의 이용이 편리하며, 서울대공원, 서울랜드, 국립현대미술관, 렛츠런파크(경마공원), 국립과천과학관 등이 가까워 다양한 문화생활도 누릴 수 있습니다.
5. 특화 설계 및 첨단시스템 적용 단지
실내 미세먼지, CO₂ 센서로 환기장비 자동운전, 스마트폰으로 제어가 가능한 스마트 환기 시스템이 각 세대별 배치되고요. 청정환기 전열교환기, 세대 현관 방문자 블랙박스, 음성인식 월패드, 세대 대기전력 차단 및 일괄소등 스위치, 전세대 LED 조명 적용으로 줄일 건 줄이고, 혁신적인 라이프를 선사할 첨단 시스템을 적용할 예정입니다.
또한, 번호인식 주차관제 및 지하주차장 비상벨 설치, 태양광 발전 및 전기차 충전설비 완비, 지하주차장 LED 디밍제어, 내진 시스템 건축에 반영, 놀이터 아이지킴이, 커뮤니티 시설 화장실에 비접촉식 수전 및 자동개폐형 양변기 적용으로 편리하고 안전한 생활을 디테일하게 디자인 할 것입니다.
- 과천르센트데시앙 단점을 볼까요.
단지가 쓰레기 소각장인 과천시자원정화센터와 가장 가까운 위치에 있어 악취를 고려하지 않을 수 없다.
더불어 지하철역의 개통 예정은 2024년으로 입주시기인 2023년 4월과는 6개월 정도 갭이 생겨서, 수개월에서 수년간 불편이 예상된다는 점입니다.

- S5 블록의 과천 르센토 데시앙 분양가
단지별 평균 분양가는 3.3㎡당 S4블록 과천 푸르지오 어울림 라비엔오는 2376만 원대, S5블록 과천 르센토 데시앙은 2373만 원대, S1블록 과천 푸르지오 오르투스 2403만 원대로 결정됐는데요.

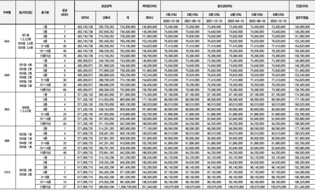
- 과천 르센토 데시앙 주택형별 계약면적 및 공급세대수 안내

분양가 및 분양대금 납부일정입니다.
계약금 20%, 중도금 60%, 잔금 20%로 진행된답니다.
중도금대출은 9억 이하 주택형에 기존 주택 담보대출이 없을 시 투기과열지구 주택담보대출비율(LTV)인 최대 40%까지 가능합니다.
대출이자 직접납부 조건입니다.

- 발코니 확장공사비, 추가 선택품목 안내

- 빌트인 가전 및 천장형 시스템 에어컨 유상 옵션 안내

- 과천지식정보타운 공공주택지구 S5BL 분양일정 및 모델하우스 안내
11월 2일 특별공급을 시작으로 1순위 3일, 2순위는 4일 진행됩니다.
당첨자 발표일은 11월 11일이고요. 정당계약은 11월 26일부터 28일까지 3일간 진행됩니다.

모델하우스는 과천시 갈현동 산27-1에 조성돼 있는데요.
역시나 코로나19 때문에 개관은 돼 있지만, 사이버 견본주택으로 대체해서 운영한답니다.
분양문의는 1800-2068 으로 전화하시면 되겠습니다.
지정타 S4(과천 푸르지오 어울림 라비엔오), S1(과천 푸르지오 오르투스) 블록과 같은 날 청약을 실시하나, 당첨자 발표는 각각 다른 날짜에 진행될 예정이니 중복 청약을 하실 수 있는 좋은 기회라고 생각이 듭니다.
이상 분양가 상한제를 적용받아 당첨만 되면 수억의 시세 차익이 예상되는 과천 르센토 데시앙 과천지식정보타운 S5 블록 분양가 분양정보에 대해서 포스팅 해 보았습니다.
'버킷리스트 > 부동산 공부' 카테고리의 다른 글
| 대구 침산동 더샵프리미엘 평면도 입주자모집공고 (0) | 2020.11.22 |
|---|---|
| 의정부역 푸르지오 더 센트럴 분양가 분양정보 (0) | 2020.11.09 |
| 대전 용산지구 호반써밋 그랜드파크 평면도 입주자모집공고 (0) | 2020.09.25 |
| 행정타운 센트럴 두산위브 분양가 프리미엄 분양정보 (0) | 2020.08.27 |
| 개포 디에이치 퍼스티어 아이파크 분양가 분양정보 (0) | 2020.07.16 |
- 용인수지파크푸르지오
- 다산신도시
- 김포한강신도시
- 아파트투유 청약경쟁률
- 울산송정지구 분양
- #자기계발
- 현대자동차
- 페이스북
- 르노삼성
- 개봉예정영화
- 빕스
- 위택스
- 신한은행
- 동탄2신도시
- 기아자동차
- 주택임대사업자
- 신한은행 인터넷뱅킹
- 르노삼성자동차
- 아파트투유 청약
- 복면가왕
- 민원24
- 쉐보레
- 한강공원
- 원주기업도시
- 신길뉴타운
- 주택청약
- 울산송정
- 태그를 입력해 주세요.
- 울산송정지구
- 아파트투유
| 일 | 월 | 화 | 수 | 목 | 금 | 토 |
|---|---|---|---|---|---|---|
| 1 | 2 | 3 | 4 | 5 | 6 | 7 |
| 8 | 9 | 10 | 11 | 12 | 13 | 14 |
| 15 | 16 | 17 | 18 | 19 | 20 | 21 |
| 22 | 23 | 24 | 25 | 26 | 27 | 28 |
| 29 | 30 | 31 |

